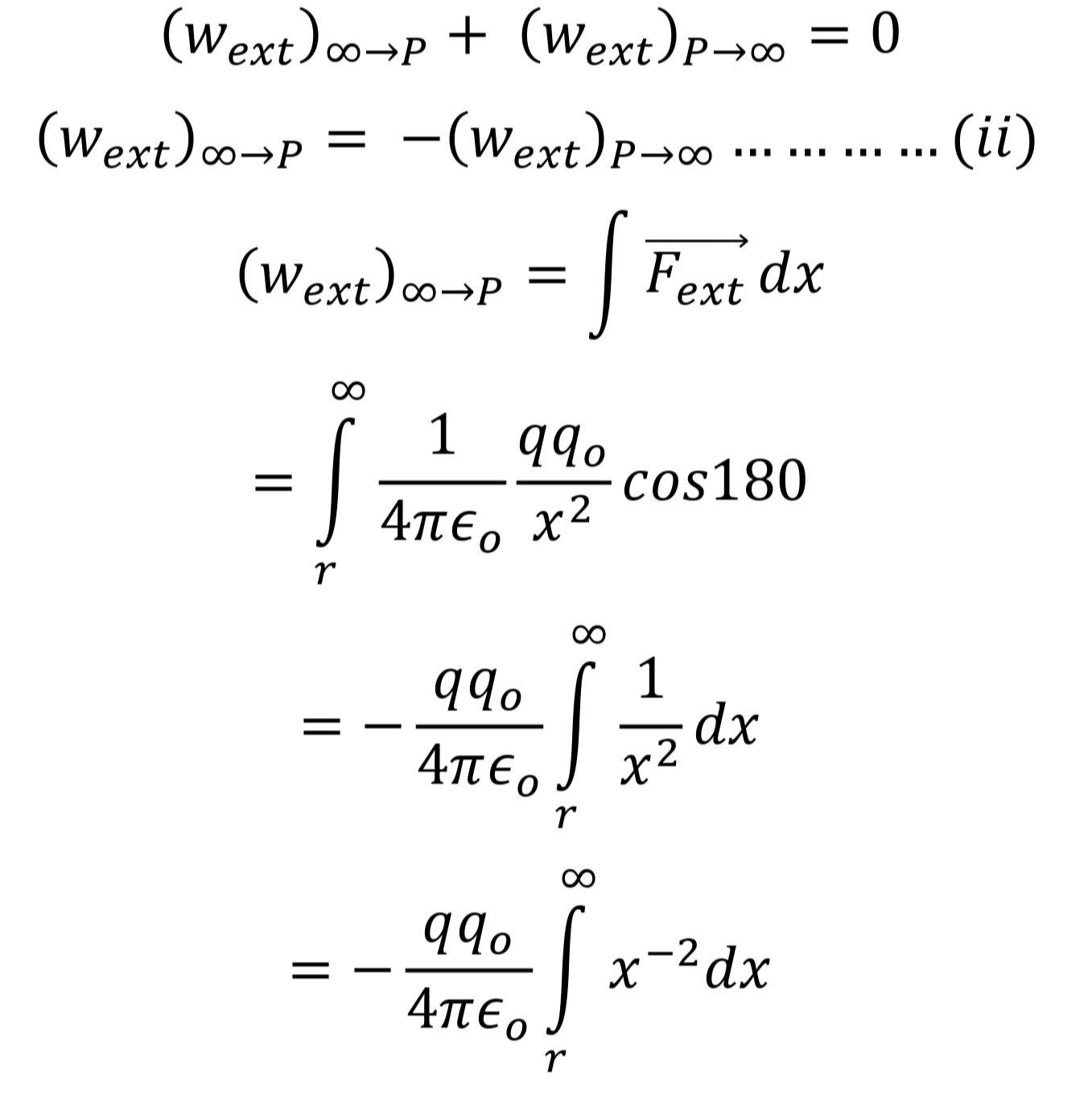
The charge qo remove the way from infinity to P in doing so distance between q and qo decreases due to which electrostatic force between them increases at a result repealed or attract each other due to which kinetic energy change.
So we take charge qo from P to infinity so electrostatic force is a conservative force to work then why electrostatic force in a close path is always zero.



